推薦簡章
更多>
政策解讀

快速擇校
導語introduction
由于2026年考研數學一大綱暫未更新,大家可以先參考2019年考研數學一大綱原文(非全日制碩士研究生),考試科目:高等數學、線性代數、概率論與數理統計。詳情如下:
目錄
考試形式和試卷結構
一、試卷滿分及考試時間
二、答題方式
三、試卷內容結構
四、試卷題型結構
高等數學
一、函數、極限、連續
二、一元函數微分學
三、一元函數積分學
四、向量代數和空間解析幾何
五、多元函數微分學
六、多元函數積分學
七、無窮級數
八、常微分方程
線性代數
一、行列式
二、矩陣
三、向量
四、線性方程組
五、矩陣的特征值和特征向量
六、二次型
概率論與數理統計
一、隨機事件和概率
二、隨機變量及其分布
三、多維隨機變量及其分布
四、隨機變量的數字特征
五、大數定律和中心極限定理
六、數理統計的基本概念
七、參數估計
八、假設檢驗

試卷滿分為150分,考試時間為180分鐘.
答題方式為閉卷、筆試.
高等數學 約56%
線性代數 約22%
概率論與數理統計約22%
單選題 8小題,每小題4分,共32分
填空題 6小題,每小題4分,共24分
解答題(包括證明題) 9小題,共94分
考試內容
函數的概念及表示法 函數的有界性、單調性、周期性和奇偶性 復合函數、反函數、分段函數和隱函數 基本初等函數的性質及其圖形 初等函數 函數關系的建立
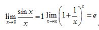
數列極限與函數極限的定義及其性質 函數的左極限和右極限 無窮小量和無窮大量的概念及其關系 無窮小量的性質及無窮小量的比較 極限的四則運算 極限存在的兩個準則:單調有界準則和夾逼準則 兩個重要極限:

函數連續的概念 函數間斷點的類型 初等函數的連續性 閉區間上連續函數的性質
考試要求
1.理解函數的概念,掌握函數的表示法,會建立應用問題的函數關系.
2.了解函數的有界性、單調性、周期性和奇偶性.
3.理解復合函數及分段函數的概念,了解反函數及隱函數的概念.
4.掌握基本初等函數的性質及其圖形,了解初等函數的概念.
5.理解極限的概念,理解函數左極限與右極限的概念以及函數極限存在與左極限、右極限之間的關系.
6.掌握極限的性質及四則運算法則.
7.掌握極限存在的兩個準則,并會利用它們求極限,掌握利用兩個重要極限求極限的方法.
8.理解無窮小量、無窮大量的概念,掌握無窮小量的比較方法,會用等價無窮小量求極限.
9.理解函數連續性的概念(含左連續與右連續),會判別函數間斷點的類型.
10.了解連續函數的性質和初等函數的連續性,理解閉區間上連續函數的性質(有界性、最大值和最小值定理、介值定理),并會應用這些性質.
考試內容
導數和微分的概念 導數的幾何意義和物理意義 函數的可導性與連續性之間的關系 平面曲線的切線和法線 導數和微分的四則運算基本初等函數的導數 復合函數、反函數、隱函數以及參數方程所確定的函數的微分法 高階導數一階微分形式的不變性 微分中值定理 洛必達(L’Hospital)法則 函數單調性的判別函數的極值 函數圖形的凹凸性、拐點及漸近線 函數圖形的描繪 函數的最大值與最小值 弧微分 曲率的概念 曲率圓與曲率半徑
考試要求
1.理解導數和微分的概念,理解導數與微分的關系,理解導數的幾何意義,會求平面曲線的切線方程和法線方程,了解導數的物理意義,會用導數描述一些物理量,理解函數的可導性與連續性之間的關系.
2.掌握導數的四則運算法則和復合函數的求導法則,掌握基本初等函數的導數公式.了解微分的四則運算法則和一階微分形式的不變性,會求函數的微分.
3.了解高階導數的概念,會求簡單函數的高階導數.
4.會求分段函數的導數,會求隱函數和由參數方程所確定的函數以及反函數的導數.
5.理解并會用羅爾(Rolle)定理、拉格朗日(Lagrange)中值定理和泰勒(Taylor)定理,了解并會用柯西(Cauchy)中值定理.
6.掌握用洛必達法則求未定式極限的方法.
7.理解函數的極值概念,掌握用導數判斷函數的單調性和求函數極值的方法,掌握函數最大值和最小值的求法及其應用.

9.了解曲率、曲率圓與曲率半徑的概念,會計算曲率和曲率半徑.
考試內容
原函數和不定積分的概念 不定積分的基本性質 基本積分公式 定積分的概念和基本性質 定積分中值定理 積分上限的函數及其導數 牛頓-萊布尼茨(Newton-Leibniz)公式 不定積分和定積分的換元積分法與分部積分法 有理函數、三角函數的有理式和簡單無理函數的積分 反常(廣義)積分 定積分的應用
考試要求
1.理解原函數的概念,理解不定積分和定積分的概念.
2.掌握不定積分的基本公式,掌握不定積分和定積分的性質及定積分中值定理,掌握換元積分法與分部積分法.
3.會求有理函數、三角函數有理式和簡單無理函數的積分.
4.理解積分上限的函數,會求它的導數,掌握牛頓-萊布尼茨公式.
5.了解反常積分的概念,會計算反常積分.
6.掌握用定積分表達和計算一些幾何量與物理量(平面圖形的面積、平面曲線的弧長、旋轉體的體積及側面積、平行截面面積為已知的立體體積、功、引力、壓力、質心、形心等)及函數的平均值.
考試內容
向量的概念 向量的線性運算 向量的數量積和向量積向量的混合積 兩向量垂直、平行的條件 兩向量的夾角 向量的坐標表達式及其運算 單位向量 方向數與方向余弦 曲面方程和空間曲線方程的概念 平面方程 直線方程 平面與平面、平面與直線、直線與直線的夾角以及平行、垂直的條件 點到平面和點到直線的距離 球面 柱面 旋轉曲面 常用的二次曲面方程及其圖形 空間曲線的參數方程和一般方程 空間曲線在坐標面上的投影曲線方程
考試要求
1.理解空間直角坐標系,理解向量的概念及其表示.
2.掌握向量的運算(線性運算、數量積、向量積、混合積),了解兩個向量垂直、平行的條件.
3.理解單位向量、方向數與方向余弦、向量的坐標表達式,掌握用坐標表達式進行向量運算的方法.
4.掌握平面方程和直線方程及其求法.
5.會求平面與平面、平面與直線、直線與直線之間的夾角,并會利用平面、直線的相互關系(平行、垂直、相交等))解決有關問題.
6.會求點到直線以及點到平面的距離.
7.了解曲面方程和空間曲線方程的概念.
8.了解常用二次曲面的方程及其圖形,會求簡單的柱面和旋轉曲面的方程.
9.了解空間曲線的參數方程和一般方程.了解空間曲線在坐標平面上的投影,并會求該投影曲線的方程.
考試內容
多元函數的概念 二元函數的幾何意義 二元函數的極限與連續的概念有界閉區域上多元連續函數的性質 多元函數的偏導數和全微分 全微分存在的必要條件和充分條件
多元復合函數、隱函數的求導法 二階偏導數 方向導數和梯度 空間曲線的切線和法平面 曲面的切平面和法線 二元函數的二階泰勒公式 多元函數的極值和條件極值 多元函數的最大值、最小值及其簡單應用
考試要求
1.理解多元函數的概念,理解二元函數的幾何意義.
2.了解二元函數的極限與連續的概念以及有界閉區域上連續函數的性質.
3.理解多元函數偏導數和全微分的概念,會求全微分,了解全微分存在的必要條件和充分條件,了解全微分形式的不變性.
4.理解方向導數與梯度的概念,并掌握其計算方法.
5.掌握多元復合函數一階、二階偏導數的求法.
6.了解隱函數存在定理,會求多元隱函數的偏導數.
7.了解空間曲線的切線和法平面及曲面的切平面和法線的概念,會求它們的方程.
8.了解二元函數的二階泰勒公式.
9.理解多元函數極值和條件極值的概念,掌握多元函數極值存在的必要條件,了解二元函數極值存在的充分條件,會求二元函數的極值,會用拉格朗日乘數法求條件極值,會求簡單多元函數的最大值和最小值,并會解決一些簡單的應用問題.
考試內容
二重積分與三重積分的概念、性質、計算和應用 兩類曲線積分的概念、性質及計算 兩類曲線積分的關系 格林(Green)公式 平面曲線積分與路徑無關的條件 二元函數全微分的原函數 兩類曲面積分的概念、性質及計算兩類曲面積分的關系 高斯(Gauss)公式 斯托克斯(Stokes)公式 散度、旋度的概念及計算曲線積分和曲面積分的應用
考試要求
1.理解二重積分、三重積分的概念,了解重積分的性質,了解二重積分的中值定理.
2.掌握二重積分的計算方法(直角坐標、極坐標),會計算三重積分(直角坐標、柱面坐標、球面坐標).
3.理解兩類曲線積分的概念,了解兩類曲線積分的性質及兩類曲線積分的關系.
4.掌握計算兩類曲線積分的方法.
5.掌握格林公式并會運用平面曲線積分與路徑無關的條件,會求二元函數全微分的原函數.
6.了解兩類曲面積分的概念、性質及兩類曲面積分的關系,掌握計算兩類曲面積分的方法,掌握用高斯公式計算曲面積分的方法,并會用斯托克斯公式計算曲線積分.
7.了解散度與旋度的概念,并會計算.
8.會用重積分、曲線積分及曲面積分求一些幾何量與物理量(平面圖形的面積、體積、曲面面積、弧長、質量、質心、形心、轉動慣量、引力、功及流量等).
考試內容

考試要求
1.理解常數項級數收斂、發散以及收斂級數的和的概念,掌握級數的基本性質及收斂的必要條件.
![]()
3.掌握正項級數收斂性的比較判別法和比值判別法,會用根值判別法.
4.掌握交錯級數的萊布尼茨判別法.
5.了解任意項級數絕對收斂與條件收斂的概念以及絕對收斂與收斂的關系.
6.了解函數項級數的收斂域及和函數的概念.
7.理解冪級數收斂半徑的概念,并掌握冪級數的收斂半徑、收斂區間及收斂域的求法.
8.了解冪級數在其收斂區間內的基本性質(和函數的連續性、逐項求導和逐項積分),會求一些冪級數在收斂區間內的和函數,并會由此求出某些數項級數的和.
9.了解函數展開為泰勒級數的充分必要條件.

考試內容
常微分方程的基本概念 變量可分離的微分方程 齊次微分方程 一階線性微分方程 伯努利(Bernoulli)方程 全微分方程 可用簡單的變量代換求解的某些微分方程 可降階的高階微分方程 線性微分方程解的性質及解的結構定理 二階常系數齊次線性微分方程 高于二階的某些常系數齊次線性微分方程 簡單的二階常系數非齊次線性微分方程歐拉(Euler)方程 微分方程的簡單應用
考試要求
1.了解微分方程及其階、解、通解、初始條件和特解等概念.
2.掌握變量可分離的微分方程及一階線性微分方程的解法.
3.會解齊次微分方程、伯努利方程和全微分方程,會用簡單的變量代換解某些微分方程.
![]()
5.理解線性微分方程解的性質及解的結構.
6.掌握二階常系數齊次線性微分方程的解法,并會解某些高于二階的常系數齊次線性微分方程.
7.會解自由項為多項式、指數函數、正弦函數、余弦函數以及它們的和與積的二階常系數非齊次線性微分方程.
8.會解歐拉方程.
9.會用微分方程解決一些簡單的應用問題.
考試內容
行列式的概念和基本性質 行列式按行(列)展開定理
考試要求
1.了解行列式的概念,掌握行列式的性質.
2.會應用行列式的性質和行列式按行(列)展開定理計算行列式.
考試內容
矩陣的概念 矩陣的線性運算 矩陣的乘法 方陣的冪 方陣乘積的行列式 矩陣的轉置 逆矩陣的概念和性質 矩陣可逆的充分必要條件 伴隨矩陣 矩陣的初等變換 初等矩陣 矩陣的秩 矩陣的等價 分塊矩陣及其運算
考試要求
1.理解矩陣的概念,了解單位矩陣、數量矩陣、對角矩陣、三角矩陣、對稱矩陣和反對稱矩陣以及它們的性質.
2.掌握矩陣的線性運算、乘法、轉置以及它們的運算規律,了解方陣的冪與方陣乘積的行列式的性質.
3.理解逆矩陣的概念,掌握逆矩陣的性質以及矩陣可逆的充分必要條件,理解伴隨矩陣的概念,會用伴隨矩陣求逆矩陣.
4.理解矩陣初等變換的概念,了解初等矩陣的性質和矩陣等價的概念,理解矩陣的秩的概念,掌握用初等變換求矩陣的秩和逆矩陣的方法.
5.了解分塊矩陣及其運算.
考試內容
向量的概念 向量的線性組合與線性表示 向量組的線性相關與線性無關 向量組的極大線性無關組 等價向量組 向量組的秩 向量組的秩與矩陣的秩之間的關系 向量空間及其相關概念 維向量空間的基變換和坐標變換 過渡矩陣向量的內積 線性無關向量組的正交規范化方法 規范正交基 正交矩陣及其性質
考試要求
1.理解 維向量、向量的線性組合與線性表示的概念.
2.理解向量組線性相關、線性無關的概念,掌握向量組線性相關、線性無關的有關性質及判別法.
3.理解向量組的極大線性無關組和向量組的秩的概念,會求向量組的極大線性無關組及秩.
4.理解向量組等價的概念,理解矩陣的秩與其行(列)向量組的秩之間的關系.
5.了解 維向量空間、子空間、基底、維數、坐標等概念.
6.了解基變換和坐標變換公式,會求過渡矩陣.
7.了解內積的概念,掌握線性無關向量組正交規范化的施密特(Schmidt)方法.
8.了解規范正交基、正交矩陣的概念以及它們的性質.
考試內容
線性方程組的克拉默(Cramer)法則 齊次線性方程組有非零解的充分必要條件 非齊次線性方程組有解的充分必要條件 線性方程組解的性質和解的結構 齊次線性方程組的基礎解系和通解 解空間 非齊次線性方程組的通解
考試要求
l.會用克拉默法則.
2.理解齊次線性方程組有非零解的充分必要條件及非齊次線性方程組有解的充分必要條件.
3.理解齊次線性方程組的基礎解系、通解及解空間的概念,掌握齊次線性方程組的基礎解系和通解的求法.
4.理解非齊次線性方程組解的結構及通解的概念.
5.掌握用初等行變換求解線性方程組的方法.
考試內容
矩陣的特征值和特征向量的概念、性質 相似變換、相似矩陣的概念及性質 矩陣可相似對角化的充分必要條件及相似對角矩陣 實對稱矩陣的特征值、特征向量及其相似對角矩陣
考試要求
1.理解矩陣的特征值和特征向量的概念及性質,會求矩陣的特征值和特征向量.
2.理解相似矩陣的概念、性質及矩陣可相似對角化的充分必要條件,掌握將矩陣化為相似對角矩陣的方法.
3.掌握實對稱矩陣的特征值和特征向量的性質.
考試內容
二次型及其矩陣表示 合同變換與合同矩陣 二次型的秩 慣性定理 二次型的標準形和規范形 用正交變換和配方法化二次型為標準形 二次型及其矩陣的正定性
考試要求
1.掌握二次型及其矩陣表示,了解二次型秩的概念,了解合同變換與合同矩陣的概念,了解二次型的標準形、規范形的概念以及慣性定理.
2.掌握用正交變換化二次型為標準形的方法,會用配方法化二次型為標準形.
3.理解正定二次型、正定矩陣的概念,并掌握其判別法.
考試內容
隨機事件與樣本空間 事件的關系與運算 完備事件組 概率的概念 概率的基本性質 古典型概率 幾何型概率 條件概率 概率的基本公式 事件的獨立性 獨立重復試驗
考試要求
1.了解樣本空間(基本事件空間)的概念,理解隨機事件的概念,掌握事件的關系及運算.
2.理解概率、條件概率的概念,掌握概率的基本性質,會計算古典型概率和幾何型概率,掌握概率的加法公式、減法公式、乘法公式、全概率公式以及貝葉斯(Bayes)公式.
3.理解事件獨立性的概念,掌握用事件獨立性進行概率計算;理解獨立重復試驗的概念,掌握計算有關事件概率的方法.
考試內容
隨機變量 隨機變量分布函數的概念及其性質 離散型隨機變量的概率分布 連續型隨機變量的概率密度 常見隨機變量的分布 隨機變量函數的分布
考試要求

考試內容
多維隨機變量及其分布 二維離散型隨機變量的概率分布、邊緣分布和條件分布 二維連續型隨機變量的概率密度、邊緣概率密度和條件密度 隨機變量的獨立性和不相關性 常用二維隨機變量的分布 兩個及兩個以上隨機變量簡單函數的分布
考試要求
1.理解多維隨機變量的概念,理解多維隨機變量的分布的概念和性質,理解二維離散型隨機變量的概率分布、邊緣分布和條件分布,理解二維連續型隨機變量的概率密度、邊緣密度和條件密度,會求與二維隨機變量相關事件的概率.
2.理解隨機變量的獨立性及不相關性的概念,掌握隨機變量相互獨立的條件.

4.會求兩個隨機變量簡單函數的分布,會求多個相互獨立隨機變量簡單函數的分布.
考試內容
隨機變量的數學期望(均值)、方差、標準差及其性質 隨機變量函數的數學期望 矩、協方差、相關系數及其性質
考試要求
1.理解隨機變量數字特征(數學期望、方差、標準差、矩、協方差、相關系數)的概念,會運用數字特征的基本性質,并掌握常用分布的數字特征.
2.會求隨機變量函數的數學期望.
考試內容
切比雪夫(Chebyshev)不等式 切比雪夫大數定律 伯努利(Bernoulli)大數定律 辛欽(Khinchine)大數定律 棣莫弗-拉普拉斯(De Moivre-Laplace)定理 列維-林德伯格(Levy-Lindberg)定理
考試要求
1.了解切比雪夫不等式.
2.了解切比雪夫大數定律、伯努利大數定律和辛欽大數定律(獨立同分布隨機變量序列的大數定律).
3.了解棣莫弗-拉普拉斯定理(二項分布以正態分布為極限分布)和列維-林德伯格定理(獨立同分布隨機變量序列的中心極限定理).
考試內容
總體 個體 簡單隨機樣本 統計量 樣本均值樣本方差和樣本矩 分布 分布 分布 分位數 正態總體的常用抽樣分布
考試要求
1.理解總體、簡單隨機樣本、統計量、樣本均值、樣本方差及樣本矩的概念,其中樣本方差定義為

3.了解正態總體的常用抽樣分布.
考試內容
點估計的概念 估計量與估計值 矩估計法 最大似然估計法 估計量的評選標準 區間估計的概念 單個正態總體的均值和方差的區間估計 兩個正態總體的均值差和方差比的區間估計
考試要求
1.理解參數的點估計、估計量與估計值的概念.
2.掌握矩估計法(一階矩、二階矩)和最大似然估計法.
3.了解估計量的無偏性、有效性(最小方差性)和一致性(相合性)的概念,并會驗證估計量的無偏性.
4、理解區間估計的概念,會求單個正態總體的均值和方差的置信區間,會求兩個正態總體的均值差和方差比的置信區間.
考試內容
顯著性檢驗 假設檢驗的兩類錯誤 單個及兩個正態總體的均值和方差的假設檢驗
考試要求
1.理解顯著性檢驗的基本思想,掌握假設檢驗的基本步驟,了解假設檢驗可能產生的兩類錯誤.
2.掌握單個及兩個正態總體的均值和方差的假設檢驗.
推薦簡章
更多>相關文章推薦
06
23
近年來,越來越多的人開始糾結在考研與就業之間。而對于那些已經就業的人員來說,也會在激烈的職場競爭下有了繼續讀研的想法。對已經參加工作的人來說,如果還想要讀研需要考慮的方面還是很多的,除了專業學校的選擇,也要考慮考試科目的問題,數學就是很多人擔心的科目了,那么,在職考研數學的難度大嗎,有不用考數學的在職研究生專業嗎?
06
14
隨著職場競爭激烈程度的增加,讓越來越多人注意到了在職教育,很多人報名在職課程學習,利用業余時間充實自己并學習新的專業課程。有人想要在職考研,但是擔心數學太難不能通過,那么,考研真的有不用考數學的方法嗎?
09
24
2019年考研數學二大綱原文(非全日制碩士研究生),詳情如下: 考試科目:高等數學、線性代數 考試形式和試卷結構 一、試卷滿分及考試時間 試卷滿分為150分,
09
18
2019年考研數學三大綱原文(非全日制碩士研究生),詳情如下: 考試科目:微積分、線性代數、概率論與數理統計 考試形式和試卷結構 一、試卷滿分及考試時間
07
29
2018年的雙證在職研究生已經開始備戰考研了,現階段,考生應該有個明確的規劃,下就來給大家介紹一下雙證在職研究生考研數學復習規劃。 1、基礎階段,復習(3月~6月
客服電話:010-51264100
中國在職研究生網
免費咨詢
張老師
15901414201張老師
13810876422周老師
15811207920育小路

關注微信公眾號
招生政策隨時看

關注小程序
專業簡章學校隨時查
評論0
“無需登錄,可直接評論...”